Độc giả truy cập website Cao đẳng Y Dược Sài Gòn để kiểm tra đáp án môn Toán do Bộ GDĐT công bố để giúp thí sinh đối chiếu kết quả..
Đề thi môn Toán THPT Quốc gia 2016 gồm 10 câu, có phương trình mũ, logarit, khảo sát hàm số…Một số thí sinh nhận định đề không dài, nhưng khó hơn năm trước, riêng câu cuối thì “lạ”, “chưa từng gặp”.
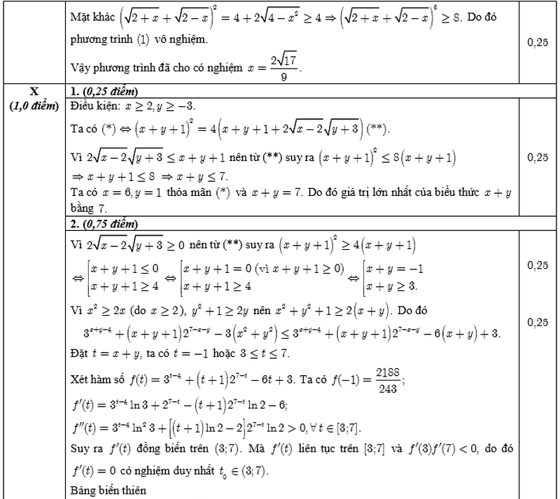
Đáp án môn Toán kỳ thi THPT Quốc gia 2016 của Bộ Giáo dục:









Đáp án chính thức từ Bộ Giáo dục và Đào tạo môn Toán kỳ thi THPT Quốc gia năm 2016
096.152.9898 - 093.851.9898
Ôn luyện kiến thức với đề thi thử THPTQG 2020 môn sử mã số 005
Chia sẻ đề thi thử THPT Quốc gia 2020 môn Văn của trường Đồng Tâm
Thử sức với đề thi thử THPT Quốc gia môn GDCD tỉnh Ninh Bình
Chi tiết đề thi thử môn Địa lý THPTQG của trường THPT Chuyên Phan Bội Châu, Nghệ An
Đáp án đề thi thử THPTQG 2020 môn Ngữ văn – THPT Chuyên Phan Ngọc Hiển
Luyện đề thi thử THPT Quốc gia 2020 môn Lịch Sử
Trường Cao đẳng Y Dược Sài Gòn trao tặng bằng khen cho các tập thể, cá nhân có thành tích xuất sắc trong công tác phòng, chống dịch Covid – 19



– Cơ sở 1:
Email:
Điện thoại: 0287.1060.222 – 096.152.9898 – 093.851.9898




