Chiều 5/6, Bộ GD&ĐT đã chính thức công bố đề thi và đáp án môn Toán kỳ thi tốt nghiệp THPT 2014.
Môn Toán là môn thi đầu tiên của khối A năm 2014. Theo nhận xét, đánh giá của 1 số giáo viên thì điểm hay của đề thi môn toán năm nay là không có phần tự chọn và có 9 câu hỏi. Do cấu trúc đề thi năm nay nên thí sinh bắt buộc phải làm bài toán xác suất thay vì năm ngoái dạng bài tập này nằm trong phần tự chọn.
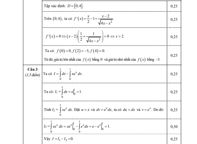
Trường Cao đẳng Y Dược HCM xin mời bạn đọc tham khảo đáp án chính thức môn Toán kỳ thi tốt nghiệp THPT 2014 dưới đây.
Đáp án chính thức môn Toán kỳ thi tốt nghiệp THPT 2014






096.152.9898 - 093.851.9898
Ôn luyện kiến thức với đề thi thử THPTQG 2020 môn sử mã số 005
Chia sẻ đề thi thử THPT Quốc gia 2020 môn Văn của trường Đồng Tâm
Thử sức với đề thi thử THPT Quốc gia môn GDCD tỉnh Ninh Bình
Chi tiết đề thi thử môn Địa lý THPTQG của trường THPT Chuyên Phan Bội Châu, Nghệ An
Đáp án đề thi thử THPTQG 2020 môn Ngữ văn – THPT Chuyên Phan Ngọc Hiển
Luyện đề thi thử THPT Quốc gia 2020 môn Lịch Sử
Trường Cao đẳng Y Dược Sài Gòn trao tặng bằng khen cho các tập thể, cá nhân có thành tích xuất sắc trong công tác phòng, chống dịch Covid – 19



– Cơ sở 1:
Email:
Điện thoại: 0287.1060.222 – 096.152.9898 – 093.851.9898




