Môn Toán là môn thi thứ 5 vào sáng thứ 3 ngày 4/6/2013 với thời gian làm bài là 150 phút theo hình thức tự luận xoay quanh các kiến thức cơ bản và không đánh đố thí sinh. Dưới đây sẽ là đáp án chính thức của Bộ giáo dục và Đào tạo môn Toán để thí sinh và phụ huynh có thể tiện theo dõi.
Chiều tối ngày 4/6/2013, bộ Giáo dục và đào tạo đã chính thức công bố đáp án tốt nghiệp môn toán và các môn thi còn lại trong kỳ thi tốt nghiệp năm 2013.
Môn Toán là môn thi thứ 5 vào sáng thứ 3 ngày 4/6/2013 với thời gian làm bài là 150 phút theo hình thức tự luận xoay quanh các kiến thức cơ bản và không đánh đố thí sinh.
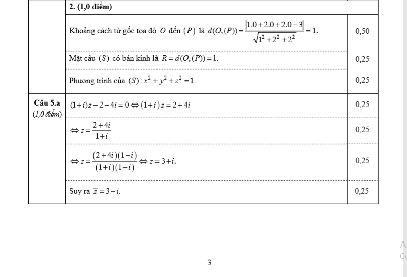
Đáp án tốt nghiệp môn Toán sẽ đi kèm với thang điểm cho từng ý, từng câu vì thế các em học sinh có thể tự chấm cho mình đạt được bao nhiêu điểm trong bài thi.
Trường Cao đẳng Y Dược TPHCM cập nhật đáp án chính thức của Bộ giáo dục và Đào tạo môn Toán:






Chiều tối ngày 4/6/2013, bộ Giáo dục sẽ chính thức công bố đáp án 6 môn thi tốt nghiệp năm 2013. Ban tư vấn của nhà trường sẽ liên tục cập nhật và gửi tới quí phụ huynh và học sinh đáp án nhanh và chính xác nhất. Các thí sinh và bậc phụ huynh hãy thường xuyên cập nhật các bài viết tiếp theo cùng chuyên mục nhé!
096.152.9898 - 093.851.9898
Ôn luyện kiến thức với đề thi thử THPTQG 2020 môn sử mã số 005
Chia sẻ đề thi thử THPT Quốc gia 2020 môn Văn của trường Đồng Tâm
Thử sức với đề thi thử THPT Quốc gia môn GDCD tỉnh Ninh Bình
Chi tiết đề thi thử môn Địa lý THPTQG của trường THPT Chuyên Phan Bội Châu, Nghệ An
Đáp án đề thi thử THPTQG 2020 môn Ngữ văn – THPT Chuyên Phan Ngọc Hiển
Luyện đề thi thử THPT Quốc gia 2020 môn Lịch Sử
Trường Cao đẳng Y Dược Sài Gòn trao tặng bằng khen cho các tập thể, cá nhân có thành tích xuất sắc trong công tác phòng, chống dịch Covid – 19



– Cơ sở 1:
Email:
Điện thoại: 0287.1060.222 – 096.152.9898 – 093.851.9898




