Đề thi môn Toán kỳ thi THPT Quốc gia 2018 chính thức từ Bộ Giáo dục và Đào tạo được cập nhật nhanh nhất trên website của Trường Cao đẳng Y Dược Sài Gòn.
Môn Toán với thời gian làm bài là 90 phút, hình thức trắc nghiệm. Đây là môn thi bắt buộc của kỳ thi THPT quốc gia 2018. Với thi trắc nghiệm, mỗi thí sinh trong phòng thi có một mã đề khác nhau.
Đề thi trắc nghiệm có 50 câu chia thành 4 nhóm cấp độ: Dễ, trung bình, khó và tương đối khó, được sắp xếp theo trình tự.
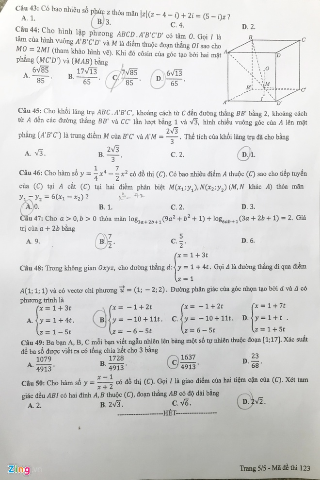
Đề thi chính thức môn Toán THPT quốc gia 2018: Mã đề 123





Mã đề Toán 120:





Nhận xét chung về đề thi THPTQG môn Toán 2018
Theo đánh giá chung của nhiều học sinh, đề Toán năm nay khá khó, thậm chí là khó hơn hẳn so với đề năm ngoái và đề thi tham khảo của Bộ Giáo dục & Đào tạo. Đa phần các câu hỏi trong đề là phần Đại số và đây cũng là phần khó nhất trong đề thi năm nay theo ý kiến của nhiều thí sinh.
Cấu trúc của đề thi năm nay vẫn giữ ổn định như năm 2017. Câu hỏi về kiến thức cơ bản sẽ chiếm khoảng 60% đề thi, những thí sinh làm tốt phần này sẽ đủ điều kiện tốt nghiệp; 40% kiến thức còn lại là phần phân hoá, là kênh thông tin tốt để xét thí sinh trúng tuyển vào đại học.
Về cấu trúc:
Đề thi gồm 50 câu trắc nghiệm, làm trong 90 phút, gồm có 20% kiến thức lớp 11 và 80% kiến thức lớp 12. Một số câu được thiết kế giao thoa cả hai khối lớp.
Về nội dung:
+ Đề tương đối dài, tương tự cấu trúc đã công bố ở đề tham khảo, mức độ phân hóa tốt với tỉ lệ 60 + 40 (6đ + 1 đ + 1đ + 2đ)
6 điểm đầu tiên ở mức độ dễ, dùng để xét tốt nghiệp: 30 câu đầu gồm nhận biết, thông hiểu, đối với các em học sinh nắm vững kiến thức và bản chất vấn đề có thể hoàn thành một cách nhanh chóng trong khoảng 45 – 60 phút.
4 điểm tiếp theo ở mức độ khó, nhằm mục tiêu xét tuyển vào đại học: 20 câu tiếp theo nằm trong mức độ vận dụng, vận dụng cao, yêu cầu học sinh có tư duy và kĩ năng tốt.
Đặc biệt: 10 câu cuối khó và có yếu tố lạ, gây khó khăn nhiều cho học sinh.
+ Mức độ khó tăng lên so với đề tham khảo mà Bộ GD&ĐT đã công bố, trái với cam kết cảu Bộ trước đó. Độ khó cũng tăng lên rất nhiều so với đề thi THPT Quốc Gia 2017 (cấu trúc 70 + 30, chỉ có khoảng 5 câu thực sự khó, khoảng 15 câu bấm máy tính ra đáp số, rất nhiều câu có thể thử lại đáp án).
+ Rút kinh nghiệm đề năm 2017, điểm thi cao và bội thực điểm 10, đề Toán năm 2018 rất ít câu bấm máy tính ra ngay đáp số, đề cũng hạn chế các câu hỏi mà học sinh có thể làm ngược (thử lại đáp số). Đề thi đòi hỏi học sinh hiểu bản chất vấn đề thì mới làm tốt được.
Về phổ điểm:
Điểm thi năm nay sẽ thấp hơn nhiều so với năm 2017. Theo nhận định học sinh trung bình được khoảng 5 điểm. Học khá được khoảng 6 điểm. Học sinh giỏi khoảng 7, 8 điểm.
Điểm 9 sẽ không nhiều và điểm 10 sẽ rất hiếm.
Cũng nhận xét về đề thi môn Toán, chuyên gia luyện thi Toán tại Hà Nội cho rằng, đề đúng cấu trúc của năm trước với 50 câu hỏi được nằm chủ yếu kiến thức của lớp 12 và lớp 11.
Mức độ tương đương của các mã đề tốt hơn so với năm ngoái. Các câu hỏi từ mức độ nhận biết, thông hiểu, vận dụng, vận dụng cao của các mã đề có mức độ tương đương nhau, công bằng cho các thí sinh.
Đề cũng duy trì số lượng câu hỏi mang tính thực tế về lãi suất ngân hàng, chế tạo sản phẩm… mang tính gắn liền với thực tiễn.
Tuy nhiên học sinh không bất ngờ về những dạng câu hỏi này, các trường THPT trong quá trình ôn tập và thi đã cho học sinh ôn luyện khá tốt.
Số lượng câu hỏi nằm trong chương trình lớp 11 khoảng 8 câu, chiếm khoảng gần 20%. Các mảng kiến thức lớp 11 có trong đề gồm: giới hạn dãy số, xác suất, hình học không gian lớp 11 (góc, khoảng cách).
So với đề minh họa, thì mức độ kiến thức trong đề thi là phù hợp, học sinh có thể giải quyết được. Trong số đó có 1 câu ở mức độ vận dụng cao.
Mức độ câu hỏi rộng, mức độ hỏi sâu, có tính phân loại cao.
Mức độ câu hỏi ở nhận biết, thông hiểu chiếm khoảng 20- 25 câu và học sinh trung bình có thể được số điểm từ 4-5,5 điểm. Học sinh mức độ khá có thể giải quyết 35 câu đầu tiên và đạt điểm khoảng từ 7 đến 7.4. Học sinh muốn đạt điểm 10 thì phải là học sinh giỏi về phương pháp giải toán, đồng thời phải được luyện kỹ năng tính toán nhanh. Nhìn chung điểm 10 sẽ hiếm. Đề thi giảm lượng tính toán khoảng 25% thì chắc sẽ phù hợp hơn với mức độ của đề năm 2017″.
Đề thi có tính phân loại cao giữa nhóm học sinh trung bình và học sinh khá. Song lại không phân hóa rõ rệt giữa học sinh khá và giỏi. Phần thi kiến thức lớp 11 chiếm 20% mức độ khó trung bình, các câu hỏi khó “ăn” điểm, hầu hết nằm ở kiến thức lớp 12. Kiến thức lớp 12 chiếm đến 80% cấu trúc đề thi. Đề thi năm nay thí sinh không thể khoanh bừa, hay dùng phương pháp loại trừ đáp án mà bắt buộc phải giải như khi làm tự luận mới có thể ra kết quả chính xác. Do đó, nếu để đạt được mức điểm từ 4-5 điểm đủ xét tốt nghiệp thì không khó, tuy nhiên, để xét tuyển đại học thì yêu cầu thí sinh phải làm thật nhanh. Nhìn chung đề thi năm nay không khó hơn nhiều so với đề thi minh họa mà Bộ đã đưa ra trước đó, nhưng khá dài.
Có thể thấy đề thi THPTQG 2018 môn Toán tương đối thách thức đối với thí sinh năm nay. Để làm được bài thi với kết quả cao đòi hỏi ngoài việc nắm chắc kiến thức học sinh còn phải có tư duy và phương pháp giải nhanh. Chính vì vậy, lời khuyên cho các em 2k1 nên ôn tập rà soát lại các kiến thức bắt đầu từ lớp 10, 11 và nắm thật chắc kiến thức lớp 12. Đây là nhiệm vụ cực kỳ khó khăn, đòi hỏi các em phải cố gắng và nỗ lực hết mình.
>>Xem đáp án chính thức môn Toán THPT quốc gia 2018
096.152.9898 - 093.851.9898
Ôn luyện kiến thức với đề thi thử THPTQG 2020 môn sử mã số 005
Chia sẻ đề thi thử THPT Quốc gia 2020 môn Văn của trường Đồng Tâm
Thử sức với đề thi thử THPT Quốc gia môn GDCD tỉnh Ninh Bình
Chi tiết đề thi thử môn Địa lý THPTQG của trường THPT Chuyên Phan Bội Châu, Nghệ An
Đáp án đề thi thử THPTQG 2020 môn Ngữ văn – THPT Chuyên Phan Ngọc Hiển
Luyện đề thi thử THPT Quốc gia 2020 môn Lịch Sử
Trường Cao đẳng Y Dược Sài Gòn trao tặng bằng khen cho các tập thể, cá nhân có thành tích xuất sắc trong công tác phòng, chống dịch Covid – 19



– Cơ sở 1:
Email:
Điện thoại: 0287.1060.222 – 096.152.9898 – 093.851.9898




