Sáng 26/6, các thí sinh đã hoàn thành xong môn thi THPT quốc gia 2018 môn Vật lý. Dưới đây là đề thi chính thức môn Vật lý THPT quốc gia 2018 do ban tư vấn tuyển sinh Trường Cao đẳng Y Dược Sài Gòn tổng hợp.
Đề thi chính thức môn Vật lý THPT quốc gia 2018: Mã đề 208



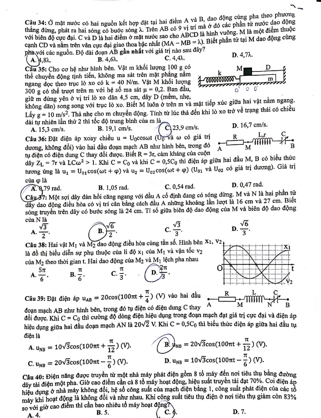
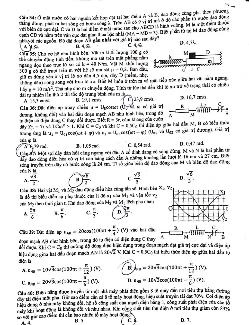
Đề thi THPT quốc gia 2018 môn Vật lý mã đề 202:





Nhận xét chung về đề thi THPTQG môn Vật lý 2018
Cấu trúc đề chính thức giống đề minh họa. Theo một số thầy cô dạy môn Vật lý cho biết, cấu trúc đề thi THPT quốc gia 2018 môn Vật lí giống với đề minh họa được công bố trước đó của Bộ GD&ĐT.
Môn thi Vật lí với 40 câu làm trong vòng 50 phút. Đề thi có tính phân loại cao, đòi hỏi học sinh phải học rộng cả chương trình Lớp 11 và 12, mới có thể đạt điểm cao. Những học sinh muốn đạt điểm cao trong đề thi cần phải học tốt phần cực trị, đồ thị.
Môn Vật lí là thi đầu tiên trong tổ hợp môn KHTN với 40 câu làm trong vòng 50 phút. Khác với tất cả những đề năm ngoái, đề thi minh họa năm nay có 7 câu 11 chiếm 1,75 điểm trong đề thi, ra trải đều trên kiến thức toàn chương trình 11, nhưng chỉ ra ở mức nhận biết, thông hiểu, và 1 câu vận dụng thuộc phần Quang Hình, không có câu nằm trong phần vận dụng cao. Kiến thức độc lập lớp 11 và 12 , không có câu nào giao thoa 11 và 12.
Đề thi Vật Lý năm nay có một số câu Lớp 11 chiếm khoảng 1,75 điểm trong đề thi, trải đều trên kiến thức toàn chương trình Lớp 11, nhưng chỉ ra ở mức nhận biết, thông hiểu, và 1 câu vận dụng thuộc phần Quang Hình, không có câu nằm trong phần vận dụng cao.
Trong đó, đề có 33 câu thuộc chương trình lớp 12 và 7 câu thuộc chướng trình lớp 11. Điều này phù hợp với nội dung đề thi được quy định tại quy chế thi THPT quốc gia 2018: nội dung chủ yếu nằm trong chương trình lớp 12.
Đối với các câu hỏi thuộc chương trình lớp 11, nội dung tương đối đơn giản, phần lớn là kiến thức cơ bản nên thí sinh có thể làm dễ dàng nếu như nhớ kiến thức.
Phần đồ thị ở lớp 11 cũng xuất hiện trong đề thi, đòi hỏi thí sinh tư duy nhiều hơn. Nhìn chung kiến thức dàn trải đều ở các chương thuộc chương trình lớp 11.
Những câu chốt của đề thi đều tập trung ở lớp 12. Cụ thể, trong đề là những câu hỏi liên quan đến các chương: điện xoay chiều, sóng cơ, dao động cơ, sóng ánh sáng.
Đề thi vẫn sắp xếp theo thứ tự từ dễ đến khó nhưng ở mức tương đối, càng về sau càng có xu hướng đi lệch quỹ đạo sắp xếp. Thông thường trong đề thi, 4 câu hỏi cuối của đề thi thường rất khó nhưng ở mã đề 206, chỉ có 2 câu được xếp vào dạng rất khó, 2 câu còn lại ở mức độ đơn giản. Trong khi đó, câu 34 lại rơi vào dạng cực khó.
Đặc biệt, đề thi xuất hiện những câu hỏi yêu cầu học sinh phải hiểu bản chất Vật lí nhưng không quá nặng về mặt tính toán như mọi năm (ví dụ câu 39 – mã đề 206). Để làm được câu hỏi này, thí sinh phải có kiến thức vững chắc của Cơ học ở lớp 10 kết hợp với việc phát triển kiến thức của phần Cơ học trong chương trình Vật lí 12. Như mọi năm, đề thi vẫn xuất hiện 2-3 câu hỏi về đồ thị nhưng không lạ, và không quá khó.
Đặc điểm nổi bật trong đề thi THPT QG 2018 môn Vật lý là có nhiều câu có hình vẽ mô tả hiện tượng và đồ thị , không có nhiều câu có thể bấm máy tính mà thay vào đó nhiều câu hỏi kết quả gần đúng. Điều này đã cho thấy để ghi điểm cao năm nay đòi hỏi học sinh phải hiểu rõ bản chất và khó có thể dự đoán kết quả hay tìm ra kết quả bằng phương án thử nghiệm.
Chính vì vậy, với đề thi chính thức, những học sinh muốn đạt điểm cao trong đề thi cần phải học tốt phần cực trị , đồ thị ( trong đề có 2 câu đồ thị ). Nhìn chung mức độ đề không khó hơn năm ngoái nhưng rộng hơn năm ngoái vì có cả kiến thức 11. “Phương pháp” loại trừ để chọn đáp án đúng đã được hạn chế tối đa khi học sinh làm bài. Các em phải có kiến thức và giải ra kết quả mới lựa chọn được đáp án đúng. Tuy nhiên, để đạt được mức điểm từ 5, 6 thì không khó nhưng để đạt điểm cao hơn thì yêu cầu thí sinh phải chắc kiến thức và thao tác thật nhanh.
>>Xem đáp án chính thức môn Vật lý THPT quốc gia 2018
Theo Trường Cao đẳng Y Dược thành phố Hồ Chí Minh tổng hợp
096.152.9898 - 093.851.9898
Ôn luyện kiến thức với đề thi thử THPTQG 2020 môn sử mã số 005
Chia sẻ đề thi thử THPT Quốc gia 2020 môn Văn của trường Đồng Tâm
Thử sức với đề thi thử THPT Quốc gia môn GDCD tỉnh Ninh Bình
Chi tiết đề thi thử môn Địa lý THPTQG của trường THPT Chuyên Phan Bội Châu, Nghệ An
Đáp án đề thi thử THPTQG 2020 môn Ngữ văn – THPT Chuyên Phan Ngọc Hiển
Luyện đề thi thử THPT Quốc gia 2020 môn Lịch Sử
Trường Cao đẳng Y Dược Sài Gòn trao tặng bằng khen cho các tập thể, cá nhân có thành tích xuất sắc trong công tác phòng, chống dịch Covid – 19



– Cơ sở 1:
Email:
Điện thoại: 0287.1060.222 – 096.152.9898 – 093.851.9898




